米兰体育APP网站/手机版下载/官网登录入口

新闻与媒体

News and Media

【癌症相关】双99(纯度99%以上,丰度99%以上)BPA(4-10硼酸-L-苯丙氨酸)已完成规模化生产,可稳定供货!



普利制药具备双99(纯度99%以上,丰度99%以上) BPA(4-10硼酸-L-苯丙氨酸)原料药供货能力


640.png

普利制药用于硼中子俘获疗法(BNCT)的硼药BPA(4-10硼酸-L-苯丙氨酸)早在2022年8月已顺利完成了公斤级样品制备,近日,顺利完成规模化生产,可稳定供货。   


产品目前化学纯度可达到99%以上,并且异构体杂质小于0.005%。是国内具备供货硼-10丰度大于99%的公司(丰度代表B10有效成分的含量,BNCT的成功需要高质量的热中子束和肿瘤细胞中足够的10B浓度,此二者都是实现细胞水平靶向杀灭肿瘤的必不可少的条件,并且丰度越高,俘获效果越好)。

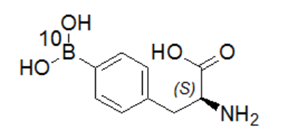
BPA产品介绍

640 (9).png

L-BPA,4-(10B)二羟基硼基-L-苯丙氨酸(分子式是C9H1210BNO4),是一种含硼氨基酸衍生物,也是一类含硼-10的小分子硼药,用于硼中子俘获疗法(BNCT),是目前唯一被批准可用于临床研究的BNCT疗法药。


BNCT疗法可以直接找到癌细胞的位置并将其清除,并不会损害健康细胞。治疗时间非常快速,可能30~60分钟就已经清零癌细胞,而且这种疗法出现复发的几率非常低。作为一种基于核俘获和裂变反应的新型放射治疗(放疗)模式,硼中子俘获治疗通过发生在肿瘤细胞内的原子核反应产生射程,用与肿瘤细胞直径相当的粒子射线摧毁肿瘤细胞。治疗时,BNCT疗法会先给患者注射一种含硼的药物,这种药物成分与癌细胞有很强的亲和力,在其他组织内则分布很少;它会迅速聚集于癌细胞内,相当于给癌细胞做“标记”。当中子被癌细胞内的硼俘获,就会产生高杀伤力的α粒子和锂离子,可精准“杀死”癌细胞。


1958年,Snyder等人首次合成了该化合物,2020年3月,在日本以Borofalan(Steboronine)的商品名正式批准上市,获批治疗局部不可切除的晚期或复发性头颈癌,是目前唯一获批上市的用于BNCT治疗的硼药。


经过几十年的探索,研究和临床实验,硼中子俘获治疗(BNCT)被认为是一种比较有效的治疗肿瘤的方法,与现行的外科手术,放疗化疗,免疫治疗,基因治疗癌症的方法相比,具有定位准确,疗效显著的特点。其在恶性肿瘤BNCT临床试验中应用相对广泛,是复发性头颈癌、黑色素皮肤癌、骨肉瘤和恶性脑瘤等BNCT治疗的首选药物。


640 (5).jpg

 
普利制药全资子公司安徽普利于今年完成BPA(4-10硼酸-L-苯丙氨酸)规模化生产,并能稳定供货;另外BSH项目也已完成了工艺开发,欢迎业内人士垂询BPA和BSH的供货与合作。


公司将继续充分发挥全球注册和制造国际化优势,利用国际化的高端产能,助力肿瘤领域的研发,为全球抗肿瘤贡献绵薄之力。


安徽普利药业是一家活性原料专业供应商,致力于向全球医药、保健和护肤领域提供化学合成、生物合成的高品质的特色原料和服务。

欢迎垂询,欢迎合作   

Welcome for enquiry, cooperation

640 (10).png

联系人:聂博士 18857693467

邮箱:nieliangdeng@movienoodle.com




[上一篇]普利制药抗猴痘品种——替韦立马原料药提交美国DMF
[下一篇]浙江普利注射剂、固体制剂车间通过美国FDA

海南普利-海南省海口市美兰区桂林洋经济开发区

浙江普利-浙江省杭州市临平区经济开发区新洲路78号

-安徽省安庆市高新技术产业开发区霞虹路58号

北京普利-北京市石景山区鲁谷东街26号

制剂招商热线:0571-89385177

原料药销售:0571-89385087 / 0571-89385057

服务 (产品研发/CDMO/CMO):17717259789

  • 客服热线 4007-118-158

  • 投资者联系 0898-66661090

扫码关注

  • 企业公众号

  • 抖音

  • 招聘公众号

  • 扫码关注

版权所有 © 2021 米兰体育APP网站/手机版下载/官网登录入口 琼ICP备11000362号-1